网站首页
产品中心
色差宝
新闻资讯
解决方案
服务专区
关于我们
联系我们
400-666-2522
热搜产品:
测试卡
色差仪
色差
电脑色差仪
色差宝
产品新闻
公司新闻
行业新闻
行业知识
颜色知识
行业新闻
当前位置:
色差宝厂家
>
新闻资讯
>
行业新闻
· 色差仪检测原理及使用方法
色差仪是一种色差检测仪器,在颜色管理领域具有非常广泛的作用,很多企业都在使用色差仪来对颜色进行检测,下面我们来介绍下色差检测原理及色差仪使用方法。...
2021-07-23
· 透明薄膜的颜色检测
透明薄膜的颜色检测如何进行?透明物体的颜色检测和评估,相对来说测量检测是比较麻烦,因为它是透明的,所以光线很容易进行透射。而透明的物体,我们也知道颜测量是各种原因...
2021-07-22
· 色差仪怎么看色板和人眼的不同在哪里
色差仪怎么看呢?使用色差仪测量色板颜色或者是产品色差,仪器在测量后会在显示屏上显示CIE规定的LAB值,而这个色差仪测量得到的LAB值就是颜色在LAB颜色空间上的坐标。...
2021-07-21
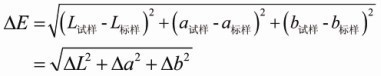
· 色差计算公式及ΔE*ab解析
主流的色差测量光学仪器色差宝色差仪,其内置有多种颜色空间可供用户选择。CIE在制定CIE LAB颜色空间时,也推荐了相应的色差计算公式ΔE*ab,公式如下:...
2021-07-20
· 工业颜色识别传感器的设计
颜色识别传感器色差仪,这种以外形小巧、操作简便、测量准确、分析快速等诸多优点而被广大用户喜爱,工业颜色检测的设计和发展,就是色差仪这类仪器的设计和发展。...
2021-07-19
· 色度色差仪的CIE RG色度图
色度色差仪是依赖于CIE 颜色空间的,而我们学习CIE rg色度图最大的目的,是了解现在使用的色度图1931CIE XYZ系统的前身,正是因为CEI rg色度空间。...
2021-07-16
· CIE Lab颜色空间色坐标图
色差仪之所以能够实现对颜色的测量,仪器本身的光学结构合理。CIE Lab颜色空间可以说是色差仪的研发基本依据,以下就为大家介绍CIE Lab颜色空间色坐标图。...
2021-07-15
· 中华人民共和国国家标准道路交通反光膜
颜色检测仪器应该严格遵循国家的GB公路道路交通反光膜标准,下面我们一起了解一下中华人民共和国国家标准道路交通反光膜这个标准。...
2021-07-14
· 色差仪分析原理
色差仪分析原理基础:测量是否准确是由色差仪内部结构决定的,而颜色分析则是各国及国际相关标准决定的。色差仪对色差的颜色检测控制过程,可以分为两部分...
2021-07-13
· 汽车测色仪的应用
汽车测色仪的应用:先制定标准颜色样板,要求整车完成后各接合部位颜色无论是目测,还是汽车测色仪仪器测量检测,都能够与标准板接近。...
2021-07-12
· 色差仪中的字母Lab是什么意思
色差仪是一种测量色差的光学仪器,通常色差仪会内置多种颜色空间,而CIE LAB颜色空间是使用最多的一种,色差仪上的字母代表Lab是什么意思呢?...
2021-07-09
· 依据CIE标准色度系统的色度色差仪
色度色差仪就是在CIE1931RBG和CIE1931XYZ基础上研发生产出来,同时研发出一些物理仪器代替人眼测量颜色。为了更好的对色差仪的研发和推行,改善色差。...
2021-07-08
«
1
2
...
5
6
7
8
9
10
11
12
13
»
网站首页
产品中心
色差宝
新闻资讯
解决方案
服务专区
关于我们
联系我们
Copyright © 2025 深圳市三恩时科技有限公司 版权所有
粤ICP备11060387号
地址:广州市增城区低碳总部园智能制造中心B33栋6、7、8层 邮箱:3nh@3nh.com
QQ咨询
在线咨询
真诚为您提供专业解答服务
客服一
客服二
咨询热线
400-666-2522
7*24小时服务热线
微信咨询
扫一扫添加微信
返回顶部