CIE 1976 LAB L*a*b*颜色空间及色差计算公式
发布时间 : 2021-07-02 阅读量: 5609 次
在颜色管理方面,不论是用户还是颜色仪器研发生产企业,以及CIE都会推荐的一个颜色空间是CIE1976L*a*b*颜色空间,也就是我们通常简称CIE LAB颜色空间。CIE LAB颜色空间在涂料、建材等表面色料工业的配色方面有着广泛的应用。其中L*为明度坐标,表征颜色的亮度大小;a*b*为色品坐标,表征颜色倾向,如下图。
LAB颜色空间
其色差计算公式为:
式中:
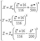
其中X,Y,Z为样品颜色的三刺激值;
以上X、Y、Z带n图标的为完全漫反射物体表面经CIE标准照明体后,通过人眼得到的三刺激值,其中Yn=100。如果已知L* a* b*值,欲求取X,Y,Z值,可使用逆方程:
下图是CIEL*a*b*颜色空间示意图。图中a*和b*表示不同的色调方向。a*表示红---绿色的方向。+a*表示红色方向,-a*表示绿色方向;b*表示黄---蓝的方向,+b*表示黄色方向,-b*表示蓝色方向。中间的垂直轴L*表示明度,上面的明度大,显示白;下面明度小,显示黑。
颜色空间简略图
△Eab是指在L*a*b*色空间下的标准偏差,其大小可以直接表征人眼对于物体色的感觉差距。△E作为衡量色差仪的重要指标,通常分光测色仪△Eab的重复性要小于0.05。其公式为:

为参考样品和被测样品之间明度L*和色度指数a*和b*的差值。
此颜色立体空间的结构形式相当复杂,但它却能把颜色的明度色调和彩度的变化情况表现的一清二楚。另外,我们还能将两点之间的颜色差异,以距离的形式来表征。关于CIE LAB颜色空间及色差计算公式我们就讲述到这里,有颜色相关问题,可以联系
色差宝厂家业务员进行咨询。