400-666-2522

热搜产品:  测试卡   色差仪   色差   电脑色差仪   色差宝

行业新闻

吸光度是什么,和透光率有没有关系

发布时间 : 2021-06-25  阅读量: 2424 次

什么是吸光度?吸光度是指光线通过溶液或物质前的入射光强度与光线通过溶液或某一物质后的透射光强度的比值(I0/I1)的以10为底的对数(即lg(I0/I1)),其中I0为入射光强,I1为透射光强,影响它的因素有溶剂、浓度、温度等等。吸光度表示公式为:
 
A=-logT = -log(I/Io)
 
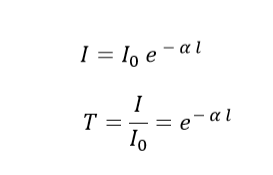
为了更好的举例,我们假设一束光照射到一个吸收光线的介质表面,在光线通过一定厚度的介质材料后,由于介质本身吸收了一部分光能 ,透射光的强度就要减弱(光透射后的光通量会小)。吸收介质的浓度愈大、介质的厚度愈大,则光强度的减弱愈显著。我们可以想象当光线穿透介质时,“细密”的材料分子会对光线进行吸收反射,光线透射能力下降。这个过程中的公式如下:
 
吸光度计算公式
 
图中参数说明:其中I0为入射光线,I为透射光线,L为材料厚度,其中a为吸收系数。对于固态、气态样品,a= Nσ(N,原子数密度atomic number density;σ, 吸光截面optical cross section);对于液体样品,a= EC ( E , 摩尔吸光系数molar extinction coefficient; C,摩尔浓度)。上述公式中: T代表的就是样品的透光度,或者透光比,或者透光率(英文: Transmission ,雾度仪就是对光透过率和雾度进行测量的光学仪器)。
 
光谱学中经常用的吸光度A或者光密度的概念和计算,对于液体样品,A= εcL , 用这个物理星就可以直观地得到FTIR中测到的吸光度与样品本身摩尔吸光,与样品浓度,厚度,呈线性正比关系。这也是为什么我们要使用吸光度的来描述的原因。我们测量光谱的时候,我们能得到的数据就是光源不经过样品的强度I ,和经过样品后的强度Io。吸光度是光谱学中为了更直观描述样品吸收的一个物理量变形而已。
 
吸光系数与入射光的波长以及被光通过的介质有关,如果光的波长被固定下来,同一种物质,吸光系数就不变。用另一种方式表示吸光度A:
 
A=abc
a为吸光系数,单位L/(g·cm)
b为光在样本中经过的距离(通常为比色皿的厚度),单位cm c为溶液浓度,单位g/L
 
A=Ecl
影响吸光度的因数是b和c。a是与溶质有关的一个常量。此外,温度通过影响c,而影响A。
lg(I0/I1)式中I0是通过均匀的液体介质的一束平行光的入射光的强度;
It是透射光强度;
T是透射比。
A值越大,表示物质对光的吸收越大。根据比尔定律,吸光度与吸光物质的量浓度c成正比,以A对c作图,可得到光度分析的校准曲线。
 
在多组分体系中,如果各组分的吸光质点彼此不发生作用,那么吸光度便等于各组分吸光度之和,这一规律称吸光度的加和性。据此可以进行多组分同时测定及某些化学反应平衡常数的测定。在吸光度测定中,为抵消吸收池对入射光的吸收、反射以及溶剂、试剂等对入射光的吸收、散射等因素,可选用双光束分光光度计,并选光学性质相同、厚度相等的吸收池分别盛待测溶液和参比溶液。
 





Copyright © 2025 深圳市三恩时科技有限公司 版权所有  粤ICP备11060387号
地址:广州市增城区低碳总部园智能制造中心B33栋6、7、8层   邮箱:3nh@3nh.com

QQ咨询

在线咨询真诚为您提供专业解答服务

咨询热线

400-666-2522
7*24小时服务热线

微信咨询

二维码扫一扫添加微信
返回顶部